Week 4: Mutation analysis and static data-flow analysis
Data-Flow Analysis
Last week, you learned about control-flow analysis, which checks that your tests execute the various statements and branches in your code. However, just running a line of code isn't enough. We also need to ensure that the data being computed is used correctly 上周,您了解了控制流分析,它检查您的测试是否执行了代码中的各种语句和分支。但是,仅仅运行一行代码是不够的。我们还需要确保正确使用正在计算的 data。
Data-Flow Analysis focuses on tracking the lifecycle of variables to find bugs related to how data is created, used, and destroyed. 数据流分析专注于跟踪变量的生命周期,以查找与数据的创建、使用和销毁方式相关的错误。
Variable Actions
To analyze data flow, we categorize every action on a variable into one of three types: 为了分析数据流,我们将变量上的每个作分为以下三种类型之一:
- d (define): A value is assigned to a variable (e.g.,
x = 5;orscanf("%d", &x);). - r (reference): The value of a variable is accessed or used (e.g.,
y = x + 1;orif (x > 0)). - u (undefine): A variable's value becomes unknown (e.g., after
free(x)in C).
Dynamic Data-Flow Coverage Criteria
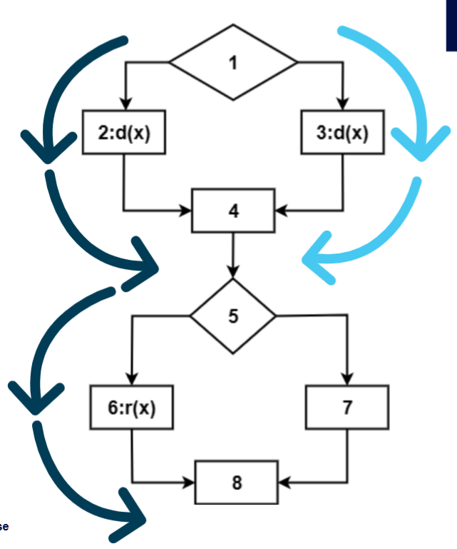
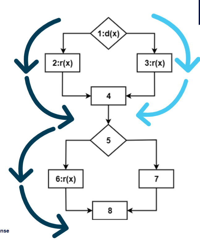
This type of analysis involves executing the code to satisfy certain coverage criteria related to definition-reference pairs (d-r pairs). The goal is to create tests that cover the paths from where a variable is defined to where it is used.这种类型的分析涉及执行代码以满足与定义-引用对(“d-r”对)相关的某些覆盖标准。目标是创建涵盖从定义变量到使用变量的路径的测试。
Here are the main criteria, from weakest to strongest:
All-Defs Coverage: For every place a variable is defined, your test suite must execute at least one path from that definition to one of its references. 全定义覆盖率: 对于定义变量的每个位置,您的测试套件必须至少执行一条从该定义到其引用之一的路径。

All-Uses Coverage: For every variable definition, your test suite must execute paths to all possible references of that definition.所有用途覆盖率: 对于每个变量定义,您的测试套件必须执行该定义的 all 可能引用的路径。

All-DU-Paths Coverage: This is the strongest criterion. For every variable definition, your test suite must execute all possible simple paths to all of its references. All-DU-Paths 覆盖范围: 这是最强的标准。对于每个变量定义,测试套件必须执行_all可能的简单paths_到其所有引用。

- C-Uses (Computational): The variable is used in a calculation (e.g.,
y = x / 2). C-Uses (Computational): 该变量用于计算(例如,'y = x / 2')。 - P-Uses (Predicate): The variable is used in a decision or condition (e.g.,
if (x == 0)). P-使用(谓词): 变量用于决策或条件(例如,'if (x == 0)')。
As shown in the subsumption hierarchy, stronger criteria (higher up the chart) technically cover everything below them. However, a stronger criterion isn't always better, as it requires more tests and higher effort to achieve. 如包含层次结构所示,从技术上讲,更强的标准(图表的较高位置)涵盖了它们下面的所有内容。然而,更强的标准并不总是更好,因为它需要更多的测试和更高的努力才能实现。
Mutation Analysis
Mutation analysis is a powerful white-box technique used to evaluate and improve the quality of your test suite. The core idea is to ask: "If I introduce a small bug into my code, are my current tests good enough to find it?" 突变分析是一种强大的白盒技术,用于评估和提高测试套件的质量。核心思想是问:“如果我在代码中引入一个小错误,我当前的测试是否足以找到它?
The Process
Create Mutants: The original program is modified in small, specific ways to create faulty versions called mutants. This is done automatically using mutation operators that change one small thing (e.g., replacing
low <= highwithlow < high). 原始程序以小的、特定的方式进行修改,以创建称为突变体的错误版本。这是使用突变运算符自动完成的,这些运算符会改变一件小事(例如,将“低<=高”替换为“低<高”)。Run Tests: Your existing test suite is run against the original program and then against each mutant.您现有的测试套件针对原始程序运行,然后针对每个突变体运行。
Kill or Survive:
- If a test case fails for a mutant (i.e., the mutant's output is different from the original's), the mutant is considered killed. This is good—it means your test suite is effective. 如果突变体的测试用例失败(即突变体的输出与原始突变体的输出不同),则该突变体被视为被杀死。这很好,这意味着您的测试套件是有效的。
- If all your tests pass for a mutant, the mutant has survived. This indicates a weakness in your test suite that needs to be improved.如果您对突变体的所有测试都通过了,则该突变体已存活。这表明您的测试套件中存在需要改进的弱点。
The quality of your test suite is measured by the Mutation Score: Mutation Score = (# of Killed Mutants) / (Total # of Mutants - # of Equivalent Mutants)
Challenges
- Equivalent Mutants: This is a major problem. An equivalent mutant is one that is syntactically different but behaves exactly the same as the original program. It's impossible to "kill" these mutants, which makes achieving a 100% mutation score very difficult. 这是一个主要问题。等效突变体是指语法不同但行为与原始程序完全相同的突变体。“杀死”这些突变体是不可能的,这使得实现 100% 的突变分数变得非常困难。
- High Computational Cost: Creating and testing thousands of mutants can be very time-consuming.创建和测试数千个突变体可能非常耗时。
Static Data-Flow Analysis
This is a different approach that finds potential bugs by analyzing the source code without executing it. Its goal is to find anomalies—suspicious patterns in the code that often indicate a fault. 这是一种不同的方法,它通过分析源代码而不执行它来发现潜在的错误。它的目标是发现异常——代码中通常表明存在故障的可疑模式。
The three main anomalies are based on the variable actions (d, r, u):
u-rAnomaly (Undefine-Reference): A variable is referenced after it has been undefined or before it has been defined. This is a serious fault that can cause crashes. 变量在未定义之后或定义之前被引用。这是一个可能导致崩溃的严重故障。d-dAnomaly (Define-Define): A variable is defined, and then defined again, with no reference in between. This is often harmless but might point to a logic error or redundant code. 定义了一个变量,然后再次定义,中间没有引用。这通常是无害的,但可能指向逻辑错误或冗余代码。d-uAnomaly (Define-Undefine): A variable is defined and then immediately undefined without ever being used. This indicates useless code. 定义了一个变量,然后立即取消定义,而从未被使用过。这表示无用的代码。
Static analysis is fast and automatic, but it cannot verify if a program is functionally correct and must be combined with other testing methods. 静态分析是快速和自动的,但它无法验证程序在功能上是否正确,必须与其他测试方法相结合。